
Foundation
Cationic polyacrylamide copolymers (PAMs) are utilized for slime dewatering in city squander water treatment and might enter nature by spreading of the slop on horticultural land. Concern has been communicated since little is thought about the debasement of PAMs in soils. To get itemized data on the polymer’s destiny in the dirt compartment, the debasement of 14C-radiolabelled PAM in an outside lysimeter was considered.
Results
No plant take-up and draining of radioactivity was watched. There was for all intents and purposes no vertical development of polymer and no change items found toward the finish of the examination. For the main 10 cm soil layer, a mass parity was built up all through the examination. About 10% of connected radioactivity was not extractable from soil even with a framework ruinous technique, and this was finished up to be bound buildup. Portrayal of extractable radioactivity by methods for GPC-investigation demonstrated a critical abatement of the sub-atomic load of the PAM with time. The decline in atomic weight demonstrates a breakdown of the polymer spine (the C– C-chain), and is thought to be essential corruption. The all out radioactivity content in the 10 cm top soil layer was measured at regular intervals over a time of 3 years. The outcomes demonstrate a critical lessening of the complete radioactivity after some time and this is characterized as extreme debasement following the meaning of OECD and EPA. In view of the information, a half-life time of 2.0 × 103 days and a rate consistent of 0.00035/day were determined. With a χ2 of 12.0 the consequences of the computation are accordingly substantial and dependable. The rate consistent demonstrates a mineralization of 22.5% inside a time of 2 years dependent on the absolute recuperated radioactivity. This half-life time is exclusively founded on mineralization and does not consider the corruption of the polymer spine, hydrolysis of the side chains, consolidation into the dirt lattice, and accordingly is a traditionalist methodology.
Ends
14C-PAM debases all around gradually in soil after land-spreading as a segment of sewage ooze. Indeed, even in an extremely traditionalist assessment which just thought about the loss of radioactivity, a half-life time of 5.4 years was resolved.
Cationic polyacrylamide copolymers (PAMs) are a gathering of water-dissolvable polymers with a wide scope of uses in industry, nourishment handling, agribusiness and waste administration. One of the real applications for PAM is slime dewatering in city squander water treatment plants (MWWTPs). Spreading of the slime on agrarian land is as of now a standout amongst the most essential reusing courses. In Germany, the most extreme application rate of sewage muck on rural land is 5 tons dry strong (TDS) per hectare as a normal more than 3 years [16]. Taking into account that the dewatered ooze contains around 5 kg/TDS critical measures of PAM end up on the dirt.
As a feature of an earthbound hazard evaluation, the destiny of PAMs, i.e., sorption, portability and abiotic and biotic change, should be tended to. PAMs are firmly bound to natural issue and mud particles, and are consequently, stable in soil and extremely hard to desorb. The adsorption procedure happens quickly and is for the most part irreversible, despite the fact that the level of cpam adsorption is impacted by PAM compliance, soil and mineral properties and soil arrangement qualities [1]. As a rule, expanding sub-atomic size and expanding fasten augmentation lead to expanded adsorption [2]. High sorption limit results in low portability [3, 4].

Sojka et al. [1] detailed that PAM corruption happens gradually in soils and by a few distinct components. These incorporate biotic and abiotic change, for example, substance, photochemical, and natural procedures just as mechanical procedures, for example, culturing scraped spot, solidifying and defrosting. Initially, abiotic forms break the polymer into dynamically shorter portions. At the point when polymer sections are decreased to 6 or 7 monomer units long, they are then used by soil microorganisms [1]. In general, debasement rates in soil are assessed to be around 10% every year. Unobtrusive corruption was likewise announced by Wolter et al. [5] and Stahl et al. [6]. Soil microcosm tests looking at biodegradation rates of cross-connected PAM copolymer showed corruption rates as high as 7% per 80 days. Chang et al. [7] inspected the oxygen consuming and anaerobic biodegradation of cationic-PAM and demonstrated the polymer was liable to fractional debasement under the two conditions in research center inoculation– brooding tests. Estimated O2 utilization under oxygen consuming conditions, and gas generation under anaerobic conditions showed that the incomplete obliteration of pendant cationic moieties happened by ester hydrolysis, however the polymer’s spine, which only displays carbon– carbon bonds, remained basically unblemished. Ester hydrolysis of the polymer side chain discharges choline and anionic-PAM. Different creators concentrated on the examination of the microbial procedures. For instance, Nakamiya and Kinoshita [8] segregated two bacterial strains from soil, Enterobacter agglomerans and Azomonas macrocytogenes, with the capacity to corrupt PAM. The two strains developed on a medium made out of 10 mg/mL PAM as the sole wellspring of C and N. After 27 h hatching, about 20% of the complete natural C in the underlying medium was devoured and the normal MW of PAM was diminished from 2 × 106 to 0.5 × 106 by microbial corruption. Growths likewise can break down PAM. Stahl et al. [6] explored the biodegradation of two superabsorbent polymers (in particular a crosslinked, insoluble polyacrylate and an insoluble polyacrylate/polyacrylamide copolymer) in soil by the white-decay growth Phanerochaete chrysosporium. The polymers were both solubilized and mineralized by the parasite yet solubilization and mineralization of the copolymer was considerably more fast than that of the polyacrylate. Soil microorganisms inadequately solubilized the polymers and were unfit to mineralize either unblemished polymer. In any case, soil organisms worked related to the parasite amid polymer debasement in soil, whereby the growth solubilised the polymers and the dirt microorganisms invigorated mineralization. Besides, soil microorganisms had the capacity to fundamentally mineralize the two polymers after solubilization by P. chrysosporium developed under conditions that created parasitic peroxidases or cellobiose dehydrogenase, or after solubilization by photochemically produced Fenton reagent. The outcomes proposed that biodegradation of these polymers in soil was ideal under conditions that augmented solubilization. Wolter et al. [5] evaluated the natural corruption of a 14C-marked acrylamide/acrylic corrosive copolymer in a rural soil by two white decay parasites (Pleurotus ostreatus and Dichomitus squalens), a darker spoil organism (Flammulina velutipes) and a saprophytic soil growth (Agaricus bitorquis) in soil microcosms. The most noteworthy mineralisation of the 14C-copolymer to 14CO2 was estimated following the vaccination of the dirt with P. ostreatus (8.8% of the underlying radioactivity inside 22 weeks).
Despite the fact that PAM has been accounted for to be non-poisonous to the natural framework and unassuming change in soil has been accounted for by a few creators there is still worry regarding the hazard to muck revised soils. In view of these worries and the preparatory standard, which is one of the fundamental principles of the German soil assurance act, the German Fertilizer Ordinance DüMV of fifth December 2012 [9] presented a trigger an incentive for debasement of engineered polymers of 20% in a 2-year time frame.
While deciding the debasement capability of PAMs in soils or ooze corrected soils exploratory provokes should be tended to. Among others, there are critical issues in separating PAMs from soil or muck frameworks for evaluation by traditional techniques because of the level of sorption of the Poly Acrylamide . In this way, the utilization of a radioactive polymer was the main choice to pursue the destiny of PAMs. We mirrored the land-spreading of slime utilizing 14C-PAM to flocculate muck, which was then connected to the lysimeter. The dewatered muck was connected to undisturbed soils in open air lysimeters pursued by agrarian treatment. Hence, degradability and filtering of PAM were learned at practical open air presentation conditions and focuses in the wake of applying 14C material utilizing exceptionally touchy 14C recognition systems.
Test substance union and portrayal
Union
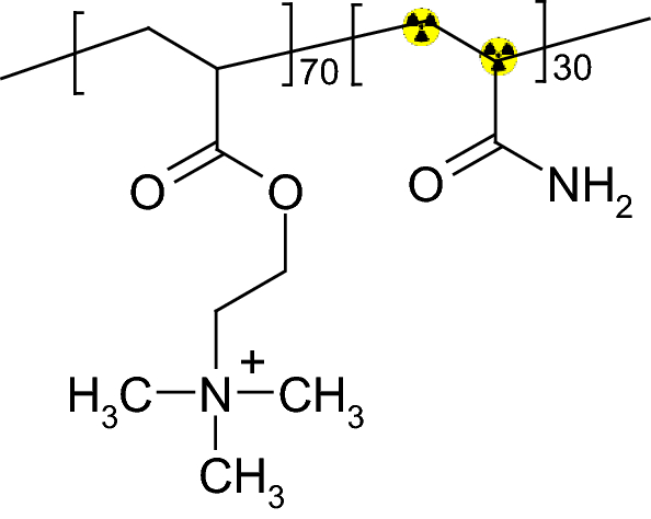
360 MBq of the 14C-marked monomer Acrylamide [2,3-14C] (Lot No. 101022, explicit action 2.60 MBq/mg, compound purity > 99%) was obtained from ARC, and utilized for the polymerisation system. For amalgamation, 0.0225 g Versenex 80 (10%, Ashland), 1.88 g 14C-acrylamide (half in water), 3.15 g ADAME-QUAT ([2‐(acryloyloxy)ethyl]trimethyl-ammonium chloride, 80%, Ashland) were balanced with H2SO4 to pH 4. As Cationic Poly Acrylamide initiator, crisply arranged 0.055 g ABAH (2,2′-Azo-bis(2-amidinopropane) dihydrochloride, 10%, Ashland) was included, cooled to − 10 °C with dry ice/ethanol blend and presented to UV light for 1 h. The blend item was dried for 90 min at 90 °C and ground in a factory to < 1 mm.
Characterisation of 14C-polyacrylamide copolymer (PAM)
Thickness Viscosity was controlled by a Brookfield viscometer with UL-connector at a convergence of 0.5% 14C-PAM and brought about 760 cp at 1.0 rpm, and 670 cp at 2.5 rpm. Contrasted with the business item, which has a normal sub-atomic load somewhere in the range of 5 and 8 million Daltons, 14C-PAM was at the lower end of the detail, i.e., a sub-atomic mass of 6 million Daltons.
Monomer content The monomer content was 2820 ppm estimated by radio-HPLC which is in the scope of business PAM, where all educts are underneath 1000 ppm.
14C-Radioactivity In all out 3.6 g 14C-PAM with a complete radioactivity of 339.3 MBq was delivered. The particular radioactivity was 94.25 kBq/mg.
Synthetic structure of 14C-PAM The methods depicted above yielded the concoction substance as displayed in Fig. 1. It is impo